Binance上綫路徑研究:Alpha、IDO、Futures、Spot全拆解,哪種方式利好最大?
日期:2025年6月10日 上午11:02
作者:Xinyang @IOSG
TL;DR:
本研究分析了 Binance 四大 Listing 渠道——Alpha、IDO、Futures和Spot——的 token 生命周期表現,並跟蹤其在Bitget、Bybit、Coinbase、Upbit上的後續上綫情況,重點考察了回報表現、listing 節奏、賽道偏好及 FDV 區間。
表現回顧
- 大多數渠道的 14 天 FDV 中位數為負,反映出多數項目上綫即為估值高點;
- Binance Alpha表現最具爆發力(均值 220%),但波動性大;
- Binance IDO有良好平衡的短期漲幅和較高轉化率(至 Futures 和 Spot);
- Binance Spot短期表現最弱,或因成為早期投資人退出點;
- Bitget和Coinbase在二級市場上表現亮眼,Bybit和Upbit較為一般。
按 FDV 區間選擇平台
- Binance Spot偏好大市值項目(>$500M);
- Alpha主要支持 < $200M 的早期項目,適合試水;
- IDO聚焦於 $70M–$200M 的中型項目;
- Bitget / Bybit區間靈活,但更偏向有增長勢能或大市值項目;
- Coinbase / Upbit偏好合規性強、估值高的項目。
上幣時間預期
- Alpha → Spot:平均約 60 天;
- IDO → Spot:平均約 17 天;
- Futures → Spot:平均僅 14 天;
- Futures 可能是最快捷的通道。
賽道偏好
- Alpha:偏好 Meme、AI;
- IDO:偏好 Infra、AI;
- Spot:覆蓋 Infra、Meme、AI;
- Futures:更廣泛,主打 Infra、AI、Meme;
- 項目方可以根據自身敘事方向選擇合適的 listing 方式。
上幣路徑進階
- Alpha → Futures:轉化率 37.8%
- Alpha → Spot:轉化率 12.2%
- IDO → Futures:轉化率 66.7%
- IDO → Spot:轉化率 23.8%
- 實現約 40% 的 FDV 上漲是進入下階段平台的共性特徵。
替代平台表現
- Bitget是最具承接力的其他 CEX,尤其對 Alpha/IDO 項目友好;
- Bybit對 IDO 項目也有較高承接意願;
- Coinbase / Upbit上綫項目極少,審核嚴格,周期較長。
本研究聚焦於 Binance 上綫渠道(Alpha、社區普遍稱作 IDO 的 Exclusive TGE、Futures 和 Spot)中項目 token 的生命周期表現,並跟蹤這些項目在 Bitget、Bybit、Upbit 和 Coinbase 等中心化交易所(CEX)上的後續上綫路徑。分析内容涵蓋 token 回報表現、上綫時機、項目賽道偏好及估值分佈(FDV dynamics),旨在為項目方提供戰略性的 listing 路徑建議,也為投資者建立基於數據的價格發現與交易策略評估框架。
術語解釋:Binance 的 Spot / Futures / IDO / Alpha 上市分別指什麼?
Binance Spot(現貨)是幣安最基礎的交易平台,用戶可按當前市價買入或賣出 token,一旦成交即完成資産交割,可自由持有、轉賬或出售。
Binance Futures(合約)提供 crypto 衍生品交易服務,用戶可做多或做空,並使用槓桿放大收益或損失。
Binance IDO是面向散戶用戶的公募渠道,用戶通過質押 BNB 或完成 Binance 團隊設定的 Alpha Quest 任務,參與新項目在 BNB 鏈上的代幣發行,通常發生在 token 正式上綫其他平台之前。
Binance Alpha是 Binance 推出的項目發現平台,集成了 BNB Chain 上的 Pancakeswap 及其他鏈上 DEX,支持早期階段具有增長潛力的項目,強調實驗性與 token 多樣性。
研究範圍
交易所選擇: 本研究跟蹤的項目均最初在 Binance 係列渠道上綫,其後續在 Bitget、Bybit、Coinbase、Upbit 上的上綫表現也納入考察,這些平台是在 Binance 之後最常見的 CEX。
時間限制: 僅納入 2025 年 2 月之後的上綫事件。該時間點用於過濾過時的市場邏輯,更貼合當前的上綫動態。
無論是對項目方還是投資人來說,理解上綫路徑都極其重要:
- 對項目方而言,不同平台的表現將直接影響資源投放和上綫節奏安排;
- 對投資人來說,token 在不同平台的表現,是制定倉位管理、判斷是否追高的重要依據。
價格發現
回報率
指標定義: 我們在本節衡量 token 上綫後 14 天内 FDV 的漲跌幅,以評估不同平台的短期價格發現能力。我們以上綫首日收盤價對應的 FDV 為基準,比較第 14 天内的最高 FDV。

從整體看,所有平台的 14 日 FDV 中位數均為負值,說明當前周期中,大多數項目上綫即為估值高點。
- Binance Alpha:均值約 +77%,中位數為 -7.6%。大多數項目回報有限,但少數項目極度爆發,顯示出 Alpha 的高波動特徵。雖然表現分化,但下行空間有限,對項目方有曝光,對投資人則有不對稱的收益結構。
- Binance IDO 與 Futures:中位數分別為 -16.3% 和 -21.7%,但均值為 +28% 和 -20%。說明大多數項目表現一般,但個別項目拉高了整體均值。Futures 表現較弱,主要由於多數項目在上綫一段時間後才被添加,已過波動高峰。
- Binance Spot:中位數 -29.7%,均值 -20%。作為最具聲望的平台,Spot 上綫反而可能成為早期投資人的退出點,導致價格承壓。
- Bitget 與 Coinbase:表現穩健,Bitget 中位數 -19.8%,均值約 21%;Coinbase 中位數 -7.7%,均值約 18%。兩者在 Binance 上綫後承接動能的能力較強。
- Bybit 與 Upbit:表現中規中矩,Bybit 中位數 -22.1%,均值 8.9%;Upbit 中位數 -24.6%,均值 -5%。Upbit 上綫通常較晚,項目熱度已退,表現偏弱。
沖高幅度
指標定義:本節衡量代幣在上綫後 14 天内的最高 FDV 與上綫 FDV 的比例,用於評估各平台提供的短期向上潛力。

該指標幫助投資者判斷 token 上綫初期的上漲潛力,同時也為項目方提供參考,了解市場需求、抛壓強度及各平台在價格發現上的能力。
- Binance Alpha:平均沖高幅度達 220%,中位數為 19.7%。部分項目僅有小幅波動,但也有不少項目在上綫後迎來劇烈拉升,展現出 Alpha 較強的短期投機性及價格發現能力,是所有平台中上漲潛力最強的渠道。
- Binance IDO:平均沖高約 75%,中位數為 11.5%。多數項目上綫後有不錯的炒作。
- Binance Futures:平均沖高 27%,中位數僅 4.1%。有一定流量導入,對價格推動有一定作用,並且是不錯的輔助曝光平台。
- Binance Spot:表現不盡人意,平均沖高僅 15%,中位數 0.9%。因市場預期已兌現,項目上綫即遭遇強抛壓。
- Coinbase:平均沖高 60%,中位數為 21.1%。在所有 CEX 中催化效果最強,主要受益於美國用戶基礎,但是上幣頻率低。
- Bybit / Bitget:平均沖高 70–80%,中位數均在 20% 左右,投機氛圍濃厚,短綫波動明顯,算是非常不錯的上幣選擇。
- Upbit:平均沖高 35%,中位數為 0%。交易深度較弱,用戶熱情也相對有限。
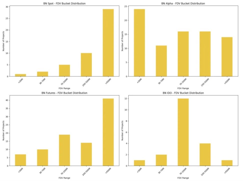
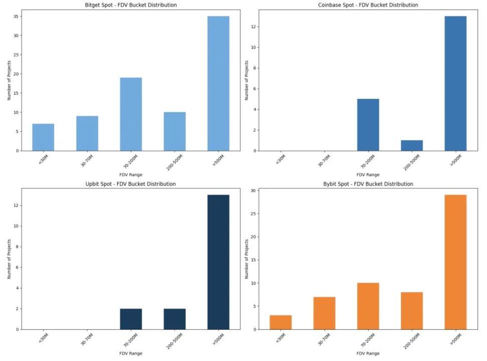
上市時的 FDV 分佈
本節從當前各平台上綫項目的 FDV 分佈出發,為項目方提供路徑規劃建議。不同估值階段的項目適合不同的上綫渠道,了解平台的 FDV 接受區間,有助於團隊更精準地匹配上綫節奏與平台策略。


- Binance Spot:超過 60% 的項目 FDV 高於 5 億美元,明顯偏好大市值項目。平台對項目體量、投資機構背景有較高要求,更適合估值已具規模的成熟項目。
- Binance Alpha:覆蓋區間廣,FDV 多集中在 2 億美元以下。符合 Alpha 「實驗場」定位,適合估值偏早期但具備潛力的項目。
- Binance Futures:超過一半的項目 FDV 超過 5 億美元,但在 7000 萬– 5 億美元區間也有一定分佈。Futures 更像是對已上市項目的跟進渠道,適合估值已相對穩固的項目。
- Binance IDO:FDV 多集中在 7000 萬– 2 億美元之間,表明其偏好中市值項目。適合在産品、社區和策略準備充分後進行的公開發行。
- Bitget:覆蓋從 3000 萬以下到 5 億以上的完整估值區間,集中分佈在 7000 萬–2 億美元和 5 億美元以上。說明平台接受度高,但更偏好已有熱度或機構背書的中大盤項目。
- Bybit:接近一半項目 FDV 高於 5 億美元,且 7000 萬– 2 億美元區間也有良好覆蓋。具備承接短期熱度和推動中市值項目的雙重能力。
- Coinbase:項目 FDV 幾乎全部高於 5 億美元,體現其合規門檻與高市值偏好,平台更適合已經成熟、合規性強的項目。
- Upbit:上綫項目全部高於 2 億美元,且大多數超出 5 億美元門檻。說明韓國市場對市值要求高,更適合作為後期補充渠道。
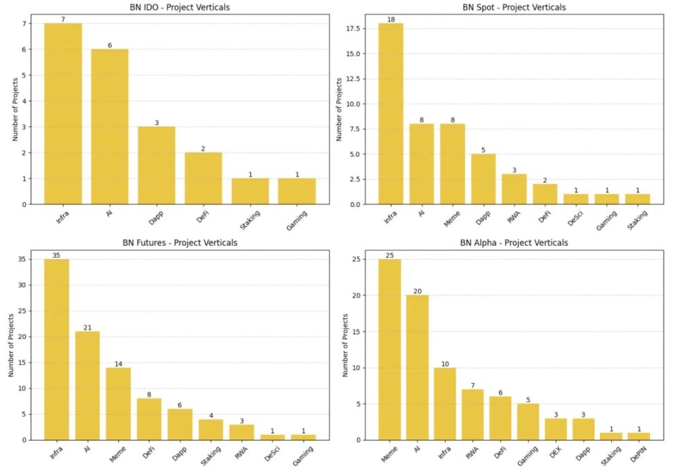
平台的賽道偏好
項目方需要了解不同平台在賽道選擇上的偏好差異。以下分析僅聚焦於 Binance 四大渠道在賽道維度的分佈情況。

此外,不同渠道的上綫項目總數也反映了上綫難度。通常項目越少的平台,其篩選標準也越嚴格。
- Binance Spot: 上綫項目約 50 個
- Binance Futures: 上綫項目約 90 個
- Binance Alpha: 上綫項目約 80 個
- Binance IDO: 上綫項目約 20 個
Binance IDO:
- 偏好 Infra(7 項)和 AI(6 項)。
- 垂類分佈集中,僅涵蓋 6 個賽道。
- 明顯聚焦技術底層和新興應用場景,優先支持基礎設施類和 AI 項目。
Binance Spot:
- 偏好 Infra(18 項)、Meme(8 項)和 AI(8 項)。
- 同時覆蓋 DeFi、RWA、GameFi、Dapps 等多個小類。
- 垂類分佈最均衡,但基礎設施類項目仍佔據主導地位。
Binance Futures:
- 是上綫項目最多的平台,涵蓋 35 個 Infra 和 21 個 AI 項目。
- Meme(14)和 DeFi(8)佔比也不低。
- 賽道覆蓋廣,偏好市場活躍、具敘事驅動的項目。
Binance Alpha:
- 以 Meme(25)和 AI(20)為主,突出投機敘事和實驗性主題。
- Infra 項目數量為 10 個,此外還包含 RWA(5)、DeFi(4)和 GameFi 等。
- Alpha 是偏好炒作型和概念型項目的試驗場。
小結:
- 項目方需根據各平台垂類偏好調整産品定位與市場敘事。
- AI 項目是四大渠道均支持的熱門賽道。
- Meme 項目在 Alpha 佔據主導地位,在 Spot 和 Futures 也有不錯覆蓋。
- Infra 項目是除 Alpha 外最具包容性的核心賽道。
上市路徑分析
許多項目方都會問一個關鍵問題:Alpha 或 IDO 能否成為進入 Binance Spot 的跳板?我們來看數據說話:

- Alpha → Futures:轉化率為 37.8%(31/82),是一個較為有效的前置渠道。
- Alpha → Spot:轉化率僅 12.2%(10/82),整體較低。
- IDO → Futures:轉化率最高,達到 66.7%(14/21)。
- IDO → Spot:轉化率為 23.8%(5/21),優於 Alpha。
Alpha 更適合作為早期試水渠道,超過三成項目成功進入 Futures,但要晉升 Spot,依然需要較強的基本面與市場表現。相比之下,IDO 項目在品牌認知和社區基礎上更紮實,具備更高的晉升潛力。項目方應將 Alpha 和 IDO 視為進入 Binance 體係的起點,而非終點。
項目表現門檻
那些成功從 Alpha / IDO 晉升至 Binance Spot 的項目,在早期階段表現如何?有沒有可借鑒的規律?

- Alpha → Spot:項目在 Alpha 階段的 14 天沖高中位數僅為 5.2%,遠低於其他路徑的 30–50%,但其均值高達 113.5%,為所有路徑中最高。說明項目表現分化極大,部分項目具備極強爆發力,但大多數漲幅有限。Binance Spot 上綫並不完全依賴市場炒作,更看重産品質量與用戶數據等硬指標。
- Alpha → Futures與兩個 IDO 路徑(→ Spot 和 → Futures)在 14 天沖高中位數都較為集中,約為 30–45%,均值則介於 51%–105% 之間,表現穩定。
整體來看,若項目在前置平台上綫後能在兩周内實現 約 40–50% 的 FDV 沖高,就更有可能獲得 Futures 或 Spot 的進一步青睐。這可以作為項目方評估後續上市潛力的參考標準。
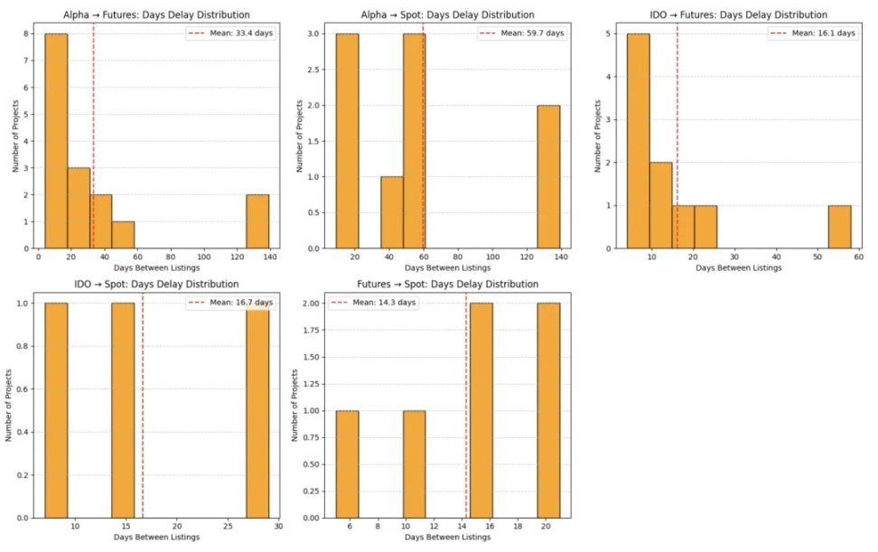
等待時長
項目方還需設定合理預期:從 Alpha 或 IDO 到 Binance Spot 上市,通常需要多長時間?若缺乏清晰的時間規劃,可能導致錯失市場窗口或失去社區關注。

- Alpha → Spot:平均等待約60天,部分項目甚至超過 120 天。整體分佈較廣,說明該路徑不具備可預測性,更適合作為探索階段的平台,而非直接通向 Spot 的跳板。
- Alpha → Futures:平均僅需30天,節奏明顯快於 Spot,具備更強的市場響應效率。
- IDO → Spot 與 IDO → Futures:平均等待時間均為17天,大多數項目可在上綫後 1 個月内完成。得益於其強社區動員和統一節奏安排,IDO 項目在後續路徑上節奏相對可控。
- Futures → Spot:為所有路徑中最快,平均僅14天,且時間分佈高度集中。
若團隊目標是快速實現 Binance Spot 上市,Futures 是當前觀察到最具確定性的中轉路徑。
替代路徑:進軍其他 CEX
並非所有項目都將 Binance Spot 作為唯一目標。越來越多的項目在 Alpha 或 IDO 後轉向 Bitget、Bybit、Coinbase、Upbit 等主流平台。部分平台反應迅速、流動性可觀,成為實際替代選項。
上市數量
項目在 Alpha 或 IDO 後,究竟有多少順利進入其他主流 CEX?

- Alpha → Bitget:上綫率為 34.1%(28/82),遙遙領先。Bybit 為 17.1%(14/82),Coinbase 為 6%(6/82),Upbit 僅上綫 2 個相關項目。
Bitget 對 Alpha 項目接受度最高,可能由於其對新興項目的開放態度以及較靈活的上綫門檻。Bybit 也對 Alpha 項目展現出一定興趣。
- IDO → Bitget 和 Bybit:上綫率分別為 61.9%(13/21)和 47.6%(10/21),Upbit 為 9%,Coinbase 無記錄。
相比 Alpha,IDO 項目在其他平台更具吸引力,可能與其更強的品牌建設和社區勢能有關。Bitget 和 Bybit 對 IDO 項目的承接能力也更強,是值得項目方重點考慮的延伸路徑。
上市等待時間
項目從 Alpha 或 IDO 上綫 Binance 後,通常需要多長時間才能在主流 CEX 跟進上綫?

- Bitget:Alpha 項目平均約 14 天,IDO 項目更快,僅 13 天。不少 IDO 項目在 TGE 當天同步上綫。
- Bybit:Alpha 項目約 13 天,IDO 同樣在 TGE 當天上綫。
- Coinbase:僅上綫 Alpha 項目,平均約 29 天。
- Upbit: 僅上綫 IDO 項目,平均約 31 天。
Bitget 和 Bybit 節奏較快,適合快節奏上綫;Coinbase 和 Upbit 節奏偏慢,需配合本地合規和社區節奏。
其他 CEX 的價格發現能力
下圖為 Alpha 和 IDO 項目在各 CEX 上綫後的 14 天平均漲幅:

- Bitget:Alpha 項目回報 41.8%,IDO 項目 29.2%,表現最優。
- Bybit:Alpha 項目為 -2.3%,IDO 項目為 25.2%,更偏好 IDO。
- Coinbase 和 Upbit:樣本項目分別為 6 和 4 個,統計偏差較大,不具代表性。
Bitget 和 Bybit 在承接 Binance 項目方面表現穩定,是項目方規劃 TGE 路綫時的重要考慮平台。
結論
整體而言,Binance Alpha 和 IDO 是 Binance 内部不錯的前置平台:
- Alpha 更像是實驗場,進入門檻低,適合早期項目曝光;
- IDO 則具有更強的品牌背書,Futures 和 Spot 的轉化率也更高。
但 Spot 轉化仍較稀缺:Alpha 項目最終晉升比例僅約 12%,IDO 也僅為 24%。項目方需做好節奏管理:
- Alpha → Spot 平均等待約 60 天,
- IDO → Spot 為 17 天,
- Futures → Spot 最快,僅需 14 天。
此外,不同平台對項目 FDV 的偏好也釋放出關鍵信號:
- Spot 偏向於估值高於 $500M 的大盤項目;
- Alpha 主要接納估值低於 $200M 的早期項目;
- IDO 多集中在 $70M–$200M 區間,適合有明確準備的中型項目。
項目方應根據自身估值階段選擇合適渠道,以匹配流動性預期與市場節奏。
内容來源:PANews