作者:雪鵝

想象你帶著 1000 元起始資金參加這樣一個翻硬幣挑戰遊戲,你可以選擇一直玩下去:
每輪抛一次硬幣,
抛到正面,財富增加 80%。
抛到反面,財富減少 50%。
聽上去是個穩賺不賠的遊戲!
但現實是……
如果讓 10 萬個玩家參加這個遊戲,並讓他們各自玩 100 輪,你會發現:他們的平均財富確實在指數增長,但絕大多數人最後的財富竟然不到 72 元,甚至破産!
為什麼平均財富是增長的,但大多數人卻越玩越窮?
這就是典型的非遍歷性陷阱。總覺得再來一局就能翻盤,恰恰是因為我們誤把群體平均當成了個體命運。
非遍歷性的陷阱:長期平均≠ 你的真實命運
什麼是遍歷性?
遍歷性(Ergodicity)這個概念最早出現在統計物理學中,也在概率論、金融、行為科學、機器學習等領域産生深遠的影響。它試圖回答的核心問題是:長期平均值,是否適用於個體?我們在做決策時,到底該相信‘長期平均’,還是‘一次次親身經歷’的現實?
19 世紀,物理學家路德維希・玻爾茲曼(Ludwig Boltzmann)研究氣體分子運動時提出了遍歷性假設:如果觀察一個氣體分子足夠久,它會遍歷所有可能的狀態。
想象一個封閉的氣體容器,容器中有無數氣體分子,每個分子都在碰撞過程中經歷不同的速度軌迹。單個分子的長期軌迹和整個氣體的統計分佈是相同的,這意味著我們可以用某個時刻所有分子的狀態,來推測單個分子的長期軌迹。
這就是著名的玻爾茲曼的遍歷性假設。

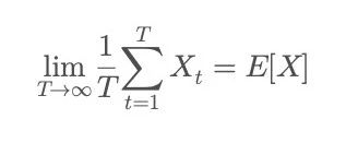
數學上,遍歷性意味著:

左側是時間平均:描述一個個體在足夠長的時間裡,多次經歷同一過程後所得的平均結果;
右側是群體平均:描述在某一時刻觀察無數個體的結果所得的統計期望。也就是說:當係統滿足遍歷性條件時,單個個體的表現最終會收斂到群體的「長期平均」。
如果世界是遍歷的,每個人的財富最終都會趨近於社會的平均財富水平。在遍歷的世界,所有人都能體驗到所有可能的經濟狀態(富有、貧窮、成功、失敗),個體的命運總會收斂到群體的「長期平均」。
但現實生活往往是非遍歷的:個體的資源有限,往往在經歷到所有可能的路徑前就因某次失敗直接出局。
我們經常聽到這樣一些具有引導性的言論:
「某行業的平均年收入過百萬。」
「某人 30 歲就財務自由,創業只花了兩年。」
「某指數基金長期年化收益高,只要堅持投就會變富。」
……
這些看似合理的統計數據仿佛在告訴我們一個確定的真相。好像只要行動,長期平均收益就會適用於個體。但這些個案屬於路徑依賴+不可復制的非遍歷過程。模仿者無法經歷相同歷史背景、關係網絡、運氣節點,甚至不知道隱藏失敗者的數量。
數據告訴你群體長期的平均值,但現實卻充滿短期的「斷崖式失敗」。
這正是非遍歷性最隱蔽的陷阱 —— 大數據統計的平均值 ≠ 個體的真實命運。
一次崩潰對於個體來說可能再也無法彌補,一次失敗可能讓人徹底出局,無法再回歸到「平均狀態」。我們每個人的生命路徑只能經歷一次,無法像賭場一樣吃群體的長期平均,等著概率在無數次個賭徒中平均化。
在非遍歷係統中,個體長期表現往往低於群體平均。這不是偶然,而是係統性的結構特徵。光鮮的平均值往往是被極少數創業成功、投資暴富、逆襲上岸的故事拉了上去,更多人的失敗從未進入統計。
現實係統在多數情況下是乘法型、且具有路徑依賴的特徵——比如投資的復利、健康的衰退、聲譽的損毀。這類係統的典型特徵是:上行有限,下行無底。
一次破産,可能毀掉一生;
一場次錯誤決策,可能徹底改變命運;
一次失信可能徹底摧毀信任;
而能賺到的財富、漲的績效、建立的優勢卻總是有限。
這正是為什麼在數學上,乘法型過程的長期增長率並不等於「平均收益」,而是更接近於:

相比之下,群體平均通常用的是算術平均,

而由於對數函數是嚴格凹函數,基於Jensen不等式,有:

因此,乘法係統的長期增長率(即幾何平均)始終小於算術平均。波動越大,這個差距越明顯。算術平均是告訴你‘如果永遠幸運會怎樣’,而幾何平均告訴你‘在真實世界裡走過風雨之後你剩下多少。
這意味著個體的長期表現總是遠低於「群體平均收益」,不是運氣不好而是結構使然。
那麼在人生決策中,我們能做點什麼避免在長期遊戲中歸零的命運?如何既不破産出局,還能實現長期復利?
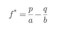
答案是:永遠不要 All in,學會凱利下注!
凱利公式(Kelly Criterion)是一種用於重復博弈中的最優下注策略,目標是最大化長期收益的同時避免短期虧光出局。它最初由約翰·凱利(John L. Kelly Jr.)於 1956 年在貝爾實驗室提出,原意是解決通信係統中「如何在有噪聲的信道中分配信號功率」,以實現信息傳輸效率最大化。
後來這套理論很快就跨界出圈。
美國數學家、投資奇才愛德華·索普(Edward Thorp)發現凱利公式能夠優化財富增長路徑。他將凱式帶進賭場,在《Beat the Dealer》中首次用它係統性打敗了21點莊家,之後又帶進了華爾街,在《Beat the Market》中繼續「收割」。
這一準則本質上等價於最大化對數期望收益(log-utility),從而兼顧了增長與風險之間的動態平衡。它幫你在「活得長久」和「賺得夠多」之間,找到一個最優平衡點。
凱利公式:

其中,成功的概率是 p,失敗的概率是q = 1-p;成功時的收益倍率(不包含本金)是b,失敗時的虧損比例是 a(通常是1,如果虧的是全部下注金額)。
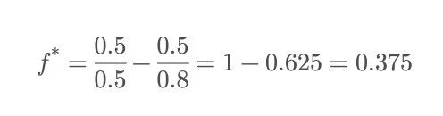
回到開篇提到的抛硬幣遊戲,你可以選擇下注一定比例的本金一直玩下去,但每次押多少最合理?

也就是說,凱利公式建議你每次投入總資金的37.5%。押得太多,即使有優勢,也可能因為幾次連輸直接爆倉;押得太少,又錯過了本該屬於你的增長。
凱利公式的意義就在於:找到那個既能長期賺最多,又能活得下去的點。
補充一點,凱利公式對勝率賠率非常敏感,但現實中這些參數往往不確定或動態變化,因此許多穩健的實踐者會選擇凱利建議值的一半(被稱為半凱利策略)以換取更平滑的收益路徑。
為了更直觀地理解不同的下注策略對個體命運的影響,我模擬了10萬個玩家參與開篇的抛硬幣遊戲,總共進行 200 輪,每人獨立進行遊戲。
遊戲規則依舊是:本金 1000,正面朝上賺 80%,反面虧 50%。玩家可以選擇固定的下注比例:比如押全部(100%),押 65%,37.5%,……
結果…… 100%下注的玩家幾乎全滅!
最終財富呈「冪律分佈」,雖有極少數人暴富,但絕大部分人玩家都破産了。
我們對比這4種不同的下注策略的玩家財富分佈,資産分佈越右玩家資産越高。
a. 100%下注:幾乎所有人破産

全押策略下的最終資産分佈有龐大的左側貧困峰 + 極細的右側暴富尾結構:大部分人破産,極少數人賺走所有的錢,這就是博弈不對稱性 + 幸存者偏差的真實呈現。
b. 65%下注: 依舊兩極分化,仍有大量人破産

c. 37.5% 下注(凱利公式):財富穩定增長

凱利下注策略下,資産分佈明顯右移,多數人資産增長且分佈集中,是最優財富積累模型。
d. 10%下注:幾乎無人破産但回報太低

沒有了類似全押情況下的破産分佈尖峰,但整體財富集中在低資産區。相比之下,37.5% 策略會在右側拉出明顯長尾,實現資産倍增。
凱利下注是唯一兼顧「多數情況下不破産」和「可觀增值」的策略,是數學上最優的長期生存策略。這正是凱利公式的精髓:它不是讓你贏得最多,而是確保你能活得夠久。
凱利公式告訴我們,長期成功的秘訣是學會把控「下注」的比例。人生不是比誰能打出一次暴擊,而是比誰能一直玩下去。
在職業上,不是憑一腔熱血裸辭、也不是固守舒適區,是持續佈局,提升能力,敢於換道,留一手選擇權;
在投資中,是不梭哈暴富,而是根據賠率控制倉位,留得籌碼;
在關係裡,是不把全部情緒和價值寄託於一人,而是投入同時保有自我;
在成長和自律上,不靠一次爆發去獲得改變,而是通過穩定、復利式地優化生活結構。
人生就像一場漫長的遊戲,你的目標不是贏一次,而是確保自己能一直玩下去。只要不出局,一定會有好事發生。
内容來源:TECHUB NEWS
財華網所刊載內容之知識產權為財華網及相關權利人專屬所有或持有。未經許可,禁止進行轉載、摘編、複製及建立鏡像等任何使用。
如有意願轉載,請發郵件至 content@finet.com.hk,獲得書面確認及授權後,方可轉載。
香港領先,世界一流的科技媒體平台 在數字化時代,Web3技術的崛起為媒體行業注入了新的活力。作為香港領先的Web3媒體平台,Techub News憑借其專業的團隊、豐富的資源和創新的業務模式,成為了行業内的佼佼者。Techub News,作為香港的科技媒體翹楚,致力於打造「香港領先,世界一流」的科技媒體和新媒體集群。Techub News平台提供最新、最快、最專業的Web3科技資訊,為用戶呈現科技前沿的無限魅力。